top of page
Top
Dataset 2: ipad 590.MOV
Semi-minor axis (b)
Eccentricity (e)
Time Period (T)
6.1391611 cm
0.4967601
5.3281037 cm
0.867724 s
Semi-major axis (a)
Angular Momentum (h)
fig 5A
Animation of marble motion
Fig 5B
Path traced by marble

Reduced mass (u)
236.85309
12131.704
fig 5C
3D points in space

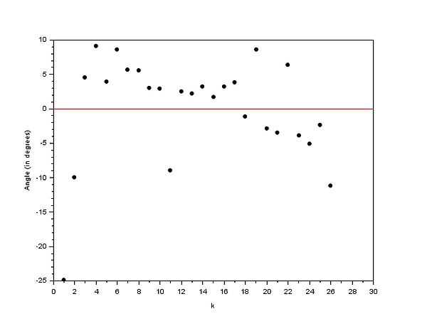
Distribution of angles of deviation from best fitted plane
fig 6

fig 6B
Normal vectors of planes containing consecutive points


fig 7
Best fitted plane and distribution of data points about it

fig 8B
fig 9
fig 10
fig 11B
3D data, projected data and best fitted plane

3D and projected data on the surface

Ellipse fitted to projected data

Ellipse parameters

LRL vector

Equal area sectors

fig 12B
fig 13
bottom of page